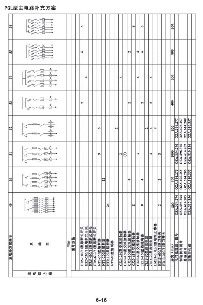
PGL1、2型交流低压配电屏
- 质量稳定:实行全过程质量监控,多方位检测!
- 合理的价格:有效的内部成本控制,减少开支,为客户服务!
- 快速交货:完善的生产线,充足的库存,缩短交货时间!
- 电话:0550-7095297,7095397
- 传真:0550-7095197
- 邮箱:ahdonen@126.com
产品介绍


















浏览:
上一篇:XL-21型动力配电柜箱
下一篇:PZ30终端组合电器箱



















皖公网安备 34118102000406号